foundationalist theory ทฤษฎีมูลฐาน

ผู้แต่ง : รวิช ตาแก้ว
ผู้ปรับแก้ : กีรติ บุญเจือ

เป็นทฤษฎีที่เชื่อว่าความจริงทุกข้อต้องจับกลุ่มประสานกันในลักษณะที่ว่า ต้องเริ่มจากข้อความจะต้องพิสูจน์ได้ตามตรรกวิทยานิรนัย (ดู deduction)

กลุ่มนักเหตุผลนิยมสมัยใหม่ดังกล่าวข้างต้นแม้จะอยู่ในยุคใหม่ แต่ยังมีความเชื่อถือนึกคิดอย่างคนยุคกลาง แต่เพิ่มความรู้ทางคณิตศาสตร์และวิทยาศาสตร์ที่กำลังพัฒนาอย่างรวดเร็ว คิดจะประนีประนอมทุกฝ่ายให้เป็นระบบสมบูรณ์ยิ่งขึ้น ความรู้ทางคณิตศาสตร์ ช่วยให้เห็นว่าวิธีพิสูจน์แบบสร้างระบบของอัสสมาจารย์มีจุดอ่อนอยู่ที่ว่าความรู้ทุกส่วนต้องพึ่งกันและกันเป็นวงจรเช่นนี้

ถ้าหากความรู้ข้อใดข้อหนึ่งผิดพลาดไป ระบบทั้งระบบก็จะระส่ำระสาย จะเอาอะไรมาค้ำประกันได้ว่าทั้งระบบไม่มีอะไรผิดพลาด ปัญหาของชาวเหตุผลนิยมจึงอยู่ที่วางรากฐานแรกของความรู้ให้แน่นอนมั่นคง ซึ่งทางเรขาคณิตเรียกว่า สิ่งที่เห็นจริงแล้ว หรือปฐมบท (assumption) มาตรการของการใช้เหตุผลก็ปรับตัวเป็นทฤษฎีมูลฐาน(foundation theory)

reduction

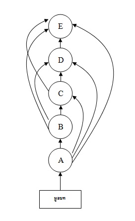
ชาวเหตุผลนิยมพบว่า การพิสูจน์ที่ถูกต้องนั้น ต้องอ้างข้อความที่เรามั่นใจแล้วมาสนับสนุนข้อความที่เรายังไม่มั่นใจ ข้อความที่เรามั่นใจแล้วจะต้องง่ายกว่าข้อความที่เรายังไม่มั่นใจหรือจะมั่นใจทีหลัง เพราะฉะนั้นการพิสูจน์ที่ถูกต้องตามระเบียบ เพื่อป้องกันมิให้ผิดพลาด ต้องดำเนินการเป็นขั้น ๆ คือต้องอ้างความจริงที่ง่ายกว่าไปสนับสนุนความจริงที่ยากกว่าเสมอ ทั้งนี้เราจะมั่นใจได้ว่าจะไม่มีการวกวน คราวนี้ถ้าพิสูจน์ซ้อน ๆ กันไปหลาย ๆ ขั้น ความจริงที่จะยกมาสนับสนุนตอนหลัง ๆ นี้มีแต่จะยิ่งง่ายเข้าทุกทีจนในที่สุดจะถึงความจริงข้อที่ง่ายที่สุด ตอนนี้จะอ้างอะไรมาสนับสนุนย่อมไม่ได้เสียแล้ว เพราะอ้างอะไรมาก็จะยากกว่าทั้งนั้น ข้อความจริงที่ง่ายที่สุดจนหาอะไรมาสนับสนุนไม่ได้แล้วนี่แหละคือ ปฐมบท

ข้อความที่เป็นปฐมบทเป็นข้อความที่ไม่ต้องพิสูจน์ และจะพิสูจน์ก็ไม่ได้ เพียงแต่ต้องยอมรับในฐานะที่เข้าใจได้แจ่มแจ้งและชัดเจนในตัว เมื่อยอมรับข้อความปฐมบทเบื้องต้นนี้แล้วจึงจะสามารถพิสูจน์ต่อไปได้เรื่อย ๆ เหมือนในเรขาคณิต เราจำต้องยอมรับนิยาม (ดู definition) สัจพจน์ (ดู axiom) และมูลบท (ดู postulate) เสียก่อน(สามอย่างรวมกันเรียกว่าปฐมบท) จึงจะพิสูจน์ทฤษฎีต่อไปได้ นี่เป็นเหตุให้เดการ์ตเริ่มหาความจริงด้วยการสงสัยเป็นวิธีการ (methodical doubt) เพื่อดูว่าเราจะรู้ความจริงอะไรก่อนที่ง่ายที่สุดซึ่งไม่ต้องการพิสูจน์ก็เห็นแจ้งชัดทันที เพื่อตั้งเป็นมูลบทของปรัชญา แล้วจะได้ใช้เป็นข้อความสนับสนุนความจริงที่ค่อย ๆ ยากขึ้นไปเรื่อย ๆ ต่อ ๆ ไปจนเป็นระบบความรู้ครบถ้วน ถ้าจะเขียนแผนผังแนวความคิดของนักคิดเหตุผลนิยมที่เชื่อทฤษฎีมูลฐานก็จะได้ดังนี้

ถ้าทำได้เช่นนี้ ก็เชื่อแน่ว่า ความจริงจะไม่มีทางหลุดมือไปได้ เราจะต้องได้ความจริงครบถ้วนด้วยเหตุผล โลกของเรานี้เป็นโลกแห่งเหตุผล และเป็นเหตุผลที่ประสานกันแน่นแฟ้นเป็นระบบเครือข่าย โดยมีหลักค้ำประกันมั่นคง กล่าวสั้น ๆ ว่า ธรรมชาติมีกฎตายตัวแน่นอนตามหลักเหตุผลที่สอดคล้องกันทั้งหมดเป็นระบบเครือข่าย (network) ในเมื่อเราสามารถค้นพบความจริงทั้งหมดด้วยเหตุผลเช่นนี้แล้ว

ความจริงภายนอกในธรรมชาติก็ต้องเป็นไปดังที่เหตุผลของลัทธิ วจนศูนย์นิยม (logocentrism) ซึ่งเชื่อว่าจะตั้งมั่นไม่เปิดโอกาสให้ผู้ใดสงสัย เป็นเหตุให้สั่นคลอนได้เลย แต่ครั้นลงมือทำจริง ๆ แล้วอุปสรรคสำคัญที่สุดอยู่ที่ว่าจะเอาอะไรเป็นมูลบท และมูลบทที่เราตั้งขึ้นมานี้จะแน่ใจได้อย่างไรว่าจะไม่ผิดพลาด เพราะเป็นของพิสูจน์ไม่ได้ สมมุติว่าเราเสียเวลาหลายปีหาความจริงซ้อน ๆ กันขึ้นไปเรื่อย ๆ จนเป็นระบบความรู้กว้างขวาง วันหนึ่งมาพบว่า มูลบทข้อหนึ่งของเราใช้ไม่ได้ จะมิล้มทั้งยืนหรือ แม้เดการ์ตและสเพอโนเซอก็ยังมีความเห็นไม่ตรงกันว่าจะเอาอะไรมาเป็นมูลบทไลบ์นิซจึงหันไปพึ่งวิธีพีชคณิต นี่เป็นปัญหาโลกแตกซึ่งขบกันไม่แตกแม้ทุกวันนี้

One response to “foundationalist theory”

  1. […] (ดู coherence theory) ทฤษฎีมูลฐาน (ดู foundation theory) ทฤษฎีสมนัย (ดู correspondence […]

    Like

Leave a comment

Quote of the Course

“Establish a supportive pedagogical framework designed to foster a robust learning culture and an optimal environment for student engagement. This model incorporates informal learning pathways that facilitate philosophical research tailored to individual student interests, thereby enabling the systematic development of their critical thinking and philosophical reasoning.”

~ Kirti Bunchua, 2018